Упражнение 193 ГДЗ Колягин Ткачёва 7 класс (Алгебра)
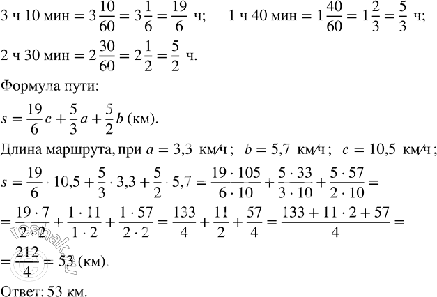
Геологи ехали верхом на лошадях 3 ч 10 мин со скоростью c километров в час, затем плыли на плоту 1 ч 40 мин по реке, скорость течения которой a километров в час, и, наконец, шли пешком 2 ч 30 мин со скоростью b километров в час.


Ниже вариант решения задания из учебника Колягин, Ткачёва, Фёдорова 7 класс, Просвещение:
Геологи ехали верхом на лошадях 3 ч 10 мин со скоростью c километров в час, затем плыли на плоту 1 ч 40 мин по реке, скорость течения которой a километров в час, и, наконец, шли пешком 2 ч 30 мин со скоростью b километров в час. Написать формулу пути, обозначив длину маршрута (в км) буквой s. Вычислить длину маршрута при a=3,3 кмч, b=5,7 км/ч, c=10,5 км/ч.
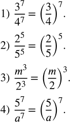
Записать в виде степени:
1) 3^7/4^7 ;
2) 2^5/5^5 ;
3) m^3/2^3 ;
4) 5^7/a^7 .
