Упражнение 199 ГДЗ Колягин Ткачёва 7 класс (Алгебра)
Найти значение числового выражения, используя законы и свойства арифметических действий: 1) 29•0,45+0,45•11; 2) (51,8+44,3+48,2-24,3)•1/3; 3) 4,07-5,49+8,93-1,51; 4) -11,401-23,17+4,401-10,83. При каком значении n верно равенство:


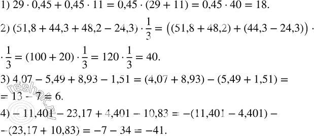
Ниже вариант решения задания из учебника Колягин, Ткачёва, Фёдорова 7 класс, Просвещение:
Найти значение числового выражения, используя законы и свойства арифметических действий:
1) 29•0,45+0,45•11;
2) (51,8+44,3+48,2-24,3)•1/3;
3) 4,07-5,49+8,93-1,51;
4) -11,401-23,17+4,401-10,83.
При каком значении n верно равенство:
1) 3^n=9;
2) 128=2^n;
3) (2^2 )^n=16;
4) (3^n )^2=81?
