Вводные упражнения 11 ГДЗ Колягин Ткачёва 7 класс (Алгебра)
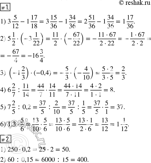
Вычислить: 1) 3 5/12-1 17/18; 2) 5 1/2•(-3 1/22); 3) (-1 2/3)•(-0,4); 4) 6 2/7 : 11/14; 5) 7 2/5 :

Ниже вариант решения задания из учебника Колягин, Ткачёва, Фёдорова 7 класс, Просвещение:
Вычислить:
1) 3 5/12-1 17/18; 2) 5 1/2•(-3 1/22); 3) (-1 2/3)•(-0,4);
4) 6 2/7 : 11/14; 5) 7 2/5 : 0,2; 6) 1,3•5/6.
2. Найти: 1) 20 % от числа 250; 2) число, если 15 % его равны 60.
