Упражнение 331 ГДЗ Колягин Ткачёва 7 класс (Алгебра)
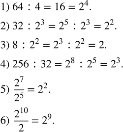
Записать в виде степени с основанием 2: 1) 64:4; 2) 32:2^3; 3) 8:2^2; 4) 256:32; 5) 2^7/2^5 ; 6) 2^10/2. Разложить на множители:


Ниже вариант решения задания из учебника Колягин, Ткачёва, Фёдорова 7 класс, Просвещение:
Записать в виде степени с основанием 2:
1) 64:4; 2) 32:2^3; 3) 8:2^2; 4) 256:32; 5) 2^7/2^5 ; 6) 2^10/2.
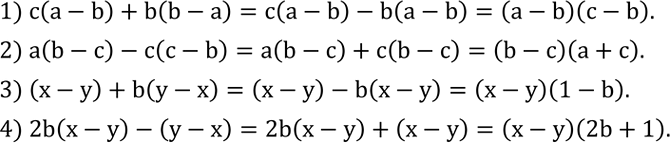
Разложить на множители:
1) c(a-b)+b(b-a);
2) a(b-c)-c(c-b);
3) (x-y)+b(y-x);
4) 2b(x-y)-(y-x).
