Упражнение 332 ГДЗ Колягин Ткачёва 7 класс (Алгебра)
Записать в виде степени с основанием 3: 1) 81; 2) 27; 3) 729; 4) 243; 5) 3^6•81; 6) 243•27; Разложить на множители:


Ниже вариант решения задания из учебника Колягин, Ткачёва, Фёдорова 7 класс, Просвещение:
Записать в виде степени с основанием 3:
1) 81; 2) 27; 3) 729; 4) 243; 5) 3^6•81; 6) 243•27;
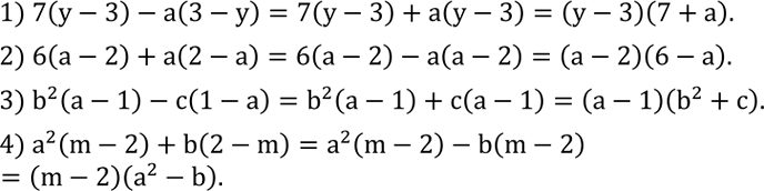
Разложить на множители:
1) 7(y-3)-a(3-y);
2) 6(a-2)+a(2-a);
3) b^2 (a-1)-c(1-a);
4) a^2 (m-2)+b(2-m).
