Упражнение 330 ГДЗ Колягин Ткачёва 7 класс (Алгебра)
Записать в виде степени с основанием 2: 1) 32; 2) 128; 3) 1024; 4) 256; 5) 2^5•128; 6) 32•64. Разложить на множители:


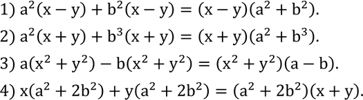
Ниже вариант решения задания из учебника Колягин, Ткачёва, Фёдорова 7 класс, Просвещение:
Записать в виде степени с основанием 2:
1) 32; 2) 128; 3) 1024; 4) 256; 5) 2^5•128; 6) 32•64.
Разложить на множители:
1) a^2 (x-y)+b^2 (x-y);
2) a^2 (x+y)+b^3 (x+y);
3) a(x^2+y^2 )-b(x^2+y^2 );
4) x(a^2+2b^2 )+y(a^2+2b^2 ).
