Упражнение 333 ГДЗ Колягин Ткачёва 7 класс (Алгебра)
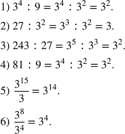
Записать в виде степени с основанием 3: 1) 3^4 :9; 2) 27:3^2; 3) 243:27; 4) 81:9; 5) 3^15/3; 6) 3^8/3^4 .


Ниже вариант решения задания из учебника Колягин, Ткачёва, Фёдорова 7 класс, Просвещение:
Записать в виде степени с основанием 3:
1) 3^4 :9; 2) 27:3^2; 3) 243:27; 4) 81:9; 5) 3^15/3; 6) 3^8/3^4 .
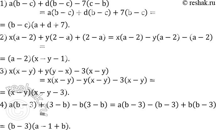
Разложить на множители:
1) a(b-c)+d(b-c)-7(c-b);
2) x(a-2)+y(2-a)+(2-a);
3) x(x-y)+y(y-x)-3(x-y);
4) a(b-3)+(3-b)-b(3-b).
