Упражнение 334 ГДЗ Колягин Ткачёва 7 класс (Алгебра)
Записать частное в виде степени: 1) (-9/7)^8 :(-9/7)^5; 2) (1/17)^18 :(1/17)^17; 3) x^21 :x^7; 4) d^24 :d^12. Найти значение выражения: 1) 7(a-5)-b(5-a) при a=2,b=3;


Ниже вариант решения задания из учебника Колягин, Ткачёва, Фёдорова 7 класс, Просвещение:
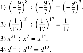
Записать частное в виде степени:
1) (-9/7)^8 :(-9/7)^5;
2) (1/17)^18 :(1/17)^17;
3) x^21 :x^7;
4) d^24 :d^12.
Найти значение выражения:
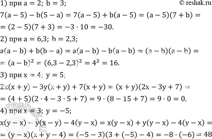
1) 7(a-5)-b(5-a) при a=2,b=3;
2) a(a-b)+b(b-a) при a=6,3,b=2,3;
3) 2x(x+y)-3y(x+y)+7(x+y) при x=4,y=5;
4) x(y-x)-y(x-y)-4(y-x) при x=3,y=-5.
