Упражнение 335 ГДЗ Колягин Ткачёва 7 класс (Алгебра)
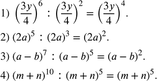
Записать частное в виде степени: 1) (3y/4)^6 :(3y/4)^2; 2) (2a)^5 :(2a)^3; 3) (a-b)^7 :(a-b)^5; 4) (m+n)^10 :(m+n)^5. Разложить на множители: 1) 3(x+y)(x-y)-(x+y)^2;


Ниже вариант решения задания из учебника Колягин, Ткачёва, Фёдорова 7 класс, Просвещение:
Записать частное в виде степени:
1) (3y/4)^6 :(3y/4)^2;
2) (2a)^5 :(2a)^3;
3) (a-b)^7 :(a-b)^5;
4) (m+n)^10 :(m+n)^5.
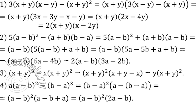
Разложить на множители:
1) 3(x+y)(x-y)-(x+y)^2;
2) 5(a-b)^2-(a+b)(b-a);
3) (x+y)^3-x(x+y)^2;
4) a(a-b)^2-(b-a)^3.
