Упражнение 353 ГДЗ Колягин Ткачёва 7 класс (Алгебра)
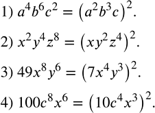
Записать выражение в виде степени с показателем 2: 1) a^4 b^6 c^2; 2) x^2 y^4 z^8; 3) 49x^8 y^6; 4) 100c^8 x^6.


Ниже вариант решения задания из учебника Колягин, Ткачёва, Фёдорова 7 класс, Просвещение:
Записать выражение в виде степени с показателем 2:
1) a^4 b^6 c^2;
2) x^2 y^4 z^8;
3) 49x^8 y^6;
4) 100c^8 x^6.
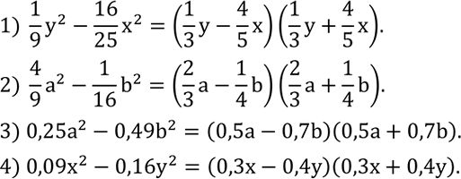
Разложить на множители:
1) 1/9 y^2-16/25 x^2;
2) 4/9 a^2-1/16 b^2;
3) 0,25a^2-0,49b^2;
4) 0,09x^2-0,16y^2.
