Упражнение 351 ГДЗ Колягин Ткачёва 7 класс (Алгебра)
Записать в виде степени произведения выражение: 1) 4^5•x^5; 2) 2^3•a^3; 3) 5^4•7^4; 4) 2^5•3^5; 5) 16a^2; 6) 81k^2; 7) 9^7 n^7 m^7;


Ниже вариант решения задания из учебника Колягин, Ткачёва, Фёдорова 7 класс, Просвещение:
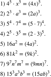
Записать в виде степени произведения выражение:
1) 4^5•x^5;
2) 2^3•a^3;
3) 5^4•7^4;
4) 2^5•3^5;
5) 16a^2;
6) 81k^2;
7) 9^7 n^7 m^7;
8) ?15?^3 a^3 b^3.
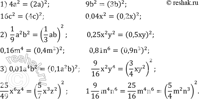
Представить в виде квадрата одночлена:
1) 4a^2; 9b^2; 16c^2; 0,04x^2;
2) 1/9 a^2 b^2; 0,25x^2 y^2; 0,16m^4; 0,81n^6;
3) 0,01a^4 b^2; 9/16 x^2 y^4; 25/49 x^6 z^4; 1 9/16 m^4 n^6.
