Упражнение 350 ГДЗ Колягин Ткачёва 7 класс (Алгебра)
(Устно.) Какую часть объема куба составляет куб, ребро которого составляет 1/2; 1/10 часть ребра первого куба? Разложить многочлен на множители: 1) a^3+2a^2-3;


Ниже вариант решения задания из учебника Колягин, Ткачёва, Фёдорова 7 класс, Просвещение:
(Устно.) Какую часть объема куба составляет куб, ребро которого составляет 1/2; 1/10 часть ребра первого куба?
Разложить многочлен на множители:
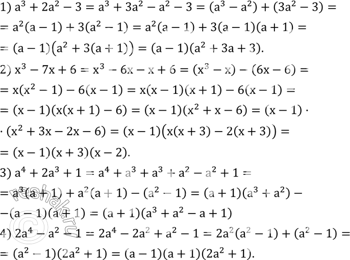
1) a^3+2a^2-3;
2) x^3-7x+6;
3) a^4+2a^3+1;
4) 2a^4-a^2-1.
