Упражнение 352 ГДЗ Колягин Ткачёва 7 класс (Алгебра)
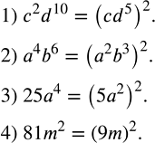
Записать выражение в виде степени с показателем 2: 1) c^2 d^10; 2) a^4 b^6; 3) 25a^4; 4) 81m^2. Разложить на множители:


Ниже вариант решения задания из учебника Колягин, Ткачёва, Фёдорова 7 класс, Просвещение:
Записать выражение в виде степени с показателем 2:
1) c^2 d^10;
2) a^4 b^6;
3) 25a^4;
4) 81m^2.
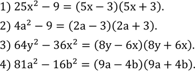
Разложить на множители:
1) 25x^2-9;
2) 4a^2-9;
3) 64y^2-36x^2;
4) 81a^2-16b^2.
