Упражнение 391 ГДЗ Колягин Ткачёва 7 класс (Алгебра)
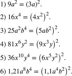
Записать одночлен в виде квадрата другого одночлена: 1) 9a^2; 2) 16x^4; 3) 25a^2 b^4; 4) 81x^6 y^2; 5) 36x^10 y^4; 6) 1,21a^8 b^4.


Ниже вариант решения задания из учебника Колягин, Ткачёва, Фёдорова 7 класс, Просвещение:
Записать одночлен в виде квадрата другого одночлена:
1) 9a^2;
2) 16x^4;
3) 25a^2 b^4;
4) 81x^6 y^2;
5) 36x^10 y^4;
6) 1,21a^8 b^4.
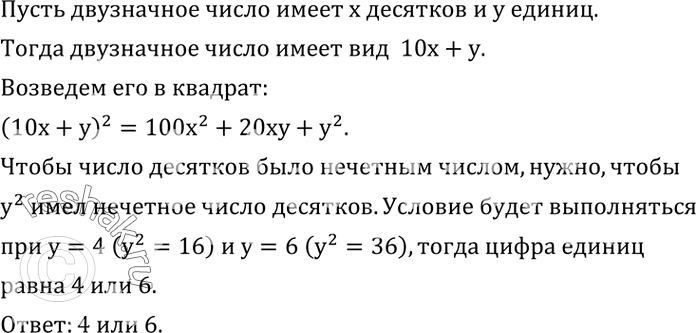
Квадрат двузначного числа содержит нечетное число десятков. Найти цифру единиц этого двузначного числа.
