Упражнение 440 ГДЗ Колягин Ткачёва 7 класс (Алгебра)
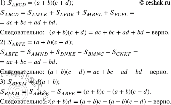
1) Рассматривая площадь прямоугольника ABCD (рис.10,а), показать, что (a+b)(c+d)=ac+bc+ad+bd. 2) Рассматривая площадь прямоугольника ABFE (рис.10,б), показать, что (a+b)(c-d)=ac+bc-ad-bd. 3) Рассматривая площадь прямоугольника BFKM (рис.10,б), показать, что (a+b)d=(a+b)c-(a+b)(c-d).Разложить на множители числитель и знаменатель дроби и сократить ее:


Ниже вариант решения задания из учебника Колягин, Ткачёва, Фёдорова 7 класс, Просвещение:
1) Рассматривая площадь прямоугольника ABCD (рис.10,а), показать, что (a+b)(c+d)=ac+bc+ad+bd.
2) Рассматривая площадь прямоугольника ABFE (рис.10,б), показать, что (a+b)(c-d)=ac+bc-ad-bd.
3) Рассматривая площадь прямоугольника BFKM (рис.10,б), показать, что (a+b)d=(a+b)c-(a+b)(c-d).
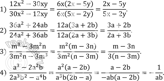
Разложить на множители числитель и знаменатель дроби и сократить ее:
1) (12x^2-30xy)/(30x^2-12xy);
2) (36a^2+24ab)/(24a^2+36ab);
3) (m^3-3m^2 n)/(3m^2 n-3m^3 );
4) (a^3-2a^2 b)/(2a^3 b^2-a^4 b).
