Упражнение 441 ГДЗ Колягин Ткачёва 7 класс (Алгебра)
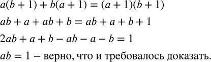
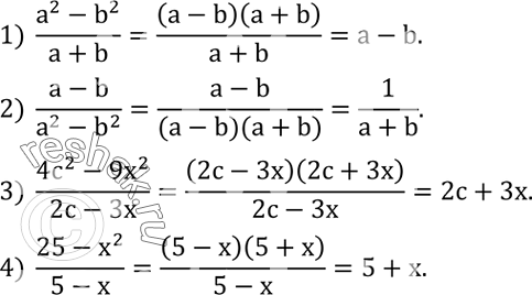
Доказать, что если a(b+1)+b(a+1)=(a+1)(b+1), то ab=1.Разложить на множители числитель и знаменатель дроби и сократить ее: 1) (a^2-b^2)/(a+b); 2) (a-b)/(a^2-b^2 ); 3) (4c^2-9x^2)/(2c-3x);


Ниже вариант решения задания из учебника Колягин, Ткачёва, Фёдорова 7 класс, Просвещение:
Доказать, что если a(b+1)+b(a+1)=(a+1)(b+1), то ab=1.
Разложить на множители числитель и знаменатель дроби и сократить ее:
1) (a^2-b^2)/(a+b);
2) (a-b)/(a^2-b^2 );
3) (4c^2-9x^2)/(2c-3x);
4) (25-x^2)/(5-x).
