Упражнение 444 ГДЗ Колягин Ткачёва 7 класс (Алгебра)
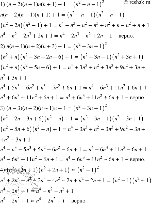
Доказать равенство: 1) (n-2)(n-1)n(n+1)+1=(n^2-n-1)^2; 2) n(n+1)(n+2)(n+3)+1=(n^2+3n+1)^2; 3) (n-3)(n-2)(n-1)n+1=(n^2-3n+1)^2; 4) (n^2-2n+1)(n^2+2n+1)=(n^2-1)^2. Разложить на множители числитель и знаменатель дроби и сократить ее: 1) (1-a^2)/(a-1)^2 ;


Ниже вариант решения задания из учебника Колягин, Ткачёва, Фёдорова 7 класс, Просвещение:
Доказать равенство:
1) (n-2)(n-1)n(n+1)+1=(n^2-n-1)^2;
2) n(n+1)(n+2)(n+3)+1=(n^2+3n+1)^2;
3) (n-3)(n-2)(n-1)n+1=(n^2-3n+1)^2;
4) (n^2-2n+1)(n^2+2n+1)=(n^2-1)^2.
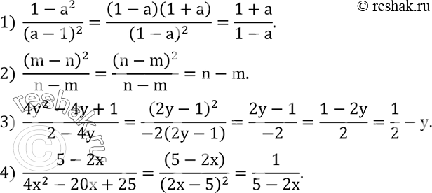
Разложить на множители числитель и знаменатель дроби и сократить ее:
1) (1-a^2)/(a-1)^2 ;
2) (m-n)^2/(n-m);
3) (4y^2-4y+1)/(2-4y);
4) (5-2x)/(4x^2-20x+25).
