Упражнение 442 ГДЗ Колягин Ткачёва 7 класс (Алгебра)
Ширина прямоугольника на 15 м меньше его длины. Если ширину увеличить на 8 м, а длину уменьшить на 6 м, то площадь нового прямоугольника будет на 80 м^2 больше площади данного.


Ниже вариант решения задания из учебника Колягин, Ткачёва, Фёдорова 7 класс, Просвещение:
Ширина прямоугольника на 15 м меньше его длины. Если ширину увеличить на 8 м, а длину уменьшить на 6 м, то площадь нового прямоугольника будет на 80 м^2 больше площади данного. Найти площадь данного прямоугольника.
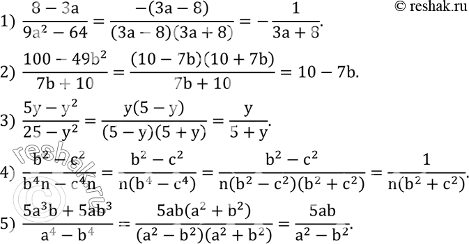
Разложить на множители числитель и знаменатель дроби и сократить ее:
1) (8-3a)/(9a^2-64);
2) (100-49b^2)/(7b+10);
3) (5y-y^2)/(25-y^2 );
4) (b^2-c^2)/(b^4 n-c^4 n);
5) (5a^3 b+5ab^3)/(a^4-b^4 ).
