Упражнение 443 ГДЗ Колягин Ткачёва 7 класс (Алгебра)
Периметр прямоугольника 60 см. Если длину этого прямоугольника увеличить на 10 см, а ширину уменьшить на 6 см, то площадь нового прямоугольника будет на 32 см^2 меньше площади данного.


Ниже вариант решения задания из учебника Колягин, Ткачёва, Фёдорова 7 класс, Просвещение:
Периметр прямоугольника 60 см. Если длину этого прямоугольника увеличить на 10 см, а ширину уменьшить на 6 см, то площадь нового прямоугольника будет на 32 см^2 меньше площади данного. Найти площадь данного прямоугольника.
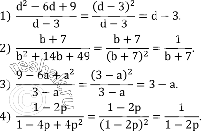
Разложить на множители числитель и знаменатель дроби и сократить ее:
1) (d^2-6d+9)/(d-3);
2) (b+7)/(b^2+14b+49);
3) (9-6a+a^2)/(3-a);
4) (1-2p)/(1-4p+4p^2 ).
