Вводные упражнения 25 ГДЗ Колягин Ткачёва 7 класс (Алгебра)
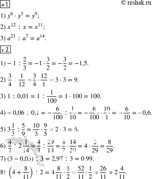
Записать в виде степени: 1) y^6•y^3; 2) x^12 :x; 3) a^21 :a^7. 2. Вычислить: 1)-1:2/3; 2) 3/4 :1/12; 3) 1:0,01; 4)-0,06:0,1;

Ниже вариант решения задания из учебника Колягин, Ткачёва, Фёдорова 7 класс, Просвещение:
Записать в виде степени: 1) y^6•y^3; 2) x^12 :x; 3) a^21 :a^7.
2. Вычислить:
1)-1:2/3; 2) 3/4 :1/12; 3) 1:0,01; 4)-0,06:0,1;
5) 3 1/3 :5/9; 6) 4/7 :2 1/14; 7) (3-0,03) :3; 8) (4+8/11) :2.
