Упражнение 445 ГДЗ Колягин Ткачёва 7 класс (Алгебра)
Выполнить деление: 1) b^5 :b^2; 2) y^11 :y^7; 3) a^7 :a^7; 4) b^9 :b^9. Разложить на множители числитель и знаменатель дроби и сократить ее:


Ниже вариант решения задания из учебника Колягин, Ткачёва, Фёдорова 7 класс, Просвещение:
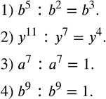
Выполнить деление:
1) b^5 :b^2;
2) y^11 :y^7;
3) a^7 :a^7;
4) b^9 :b^9.
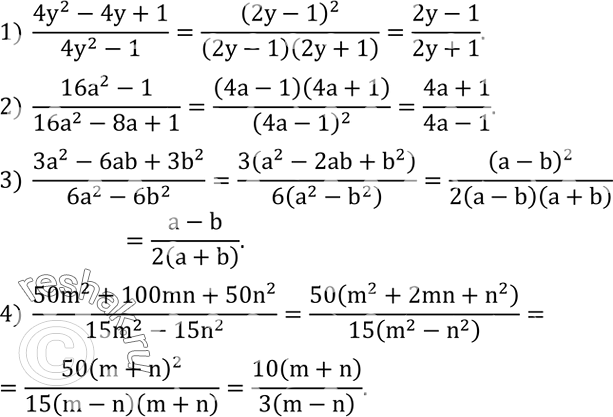
Разложить на множители числитель и знаменатель дроби и сократить ее:
1) (4y^2-4y+1)/(4y^2-1);
2) (16a^2-1)/(16a^2-8a+1);
3) (3a^2-6ab+3b^2)/(6a^2-6b^2 );
4) (50m^2+100mn+50n^2)/(15m^2-15n^2 ).
