Упражнение 446 ГДЗ Колягин Ткачёва 7 класс (Алгебра)
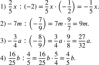
Выполнить деление: 1) 2/5 x:(-2); 2)-7m:(-7/9); 3)-3/4 a:(-8/9); 4) 16/25 b:4/5. Разложить на множители числитель и знаменатель дроби и сократить ее:


Ниже вариант решения задания из учебника Колягин, Ткачёва, Фёдорова 7 класс, Просвещение:
Выполнить деление:
1) 2/5 x:(-2);
2)-7m:(-7/9);
3)-3/4 a:(-8/9);
4) 16/25 b:4/5.
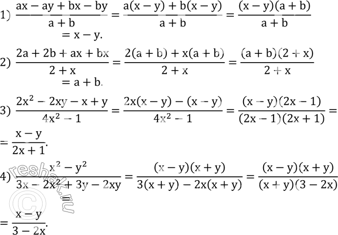
Разложить на множители числитель и знаменатель дроби и сократить ее:
1) (ax-ay+bx-by)/(a+b);
2) (2a+2b+ax+bx)/(2+x);
3) (2x^2-2xy-x+y)/(4x^2-1);
4) (x^2-y^2)/(3x-2x^2+3y-2xy).
