Упражнение 447 ГДЗ Колягин Ткачёва 7 класс (Алгебра)
Выполнить деление: 1) 5a:a; 2) 8x:x; 3) 5a:(-a); 4) (-7y) :(-y). Упростить: 1) (a^2 b-ab^2)/(a^2-ab); 2) (2a^2-4a)/(4a-8); 3) (2x^3 y+2xy^3)/(x^2+y^2 );


Ниже вариант решения задания из учебника Колягин, Ткачёва, Фёдорова 7 класс, Просвещение:
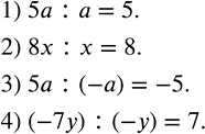
Выполнить деление:
1) 5a:a;
2) 8x:x;
3) 5a:(-a);
4) (-7y) :(-y).
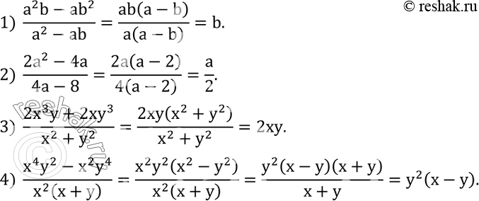
Упростить:
1) (a^2 b-ab^2)/(a^2-ab);
2) (2a^2-4a)/(4a-8);
3) (2x^3 y+2xy^3)/(x^2+y^2 );
4) (x^4 y^2-x^2 y^4)/(x^2 (x+y) ).
