Упражнение 450 ГДЗ Колягин Ткачёва 7 класс (Алгебра)
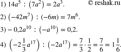
Выполнить деление: 1) 14a^5 :(7a^2 ); 2) (-42m^7 ) :(-6m); 3)-0,2a^10 :(-a^10 ); 4) (-2 1/3 a^17 ) :(-2a^17 ). Сократить дробь:


Ниже вариант решения задания из учебника Колягин, Ткачёва, Фёдорова 7 класс, Просвещение:
Выполнить деление:
1) 14a^5 :(7a^2 );
2) (-42m^7 ) :(-6m);
3)-0,2a^10 :(-a^10 );
4) (-2 1/3 a^17 ) :(-2a^17 ).
Сократить дробь:
1) |a|/2a,если a>0;
2) 3a/|a| ,если a
3) (-2a)/|a| ,если a
4) (|a|)/(-3a),если a>0.
