Упражнение 449 ГДЗ Колягин Ткачёва 7 класс (Алгебра)
Выполнить деление: 1) 8abc:(-4a); 2) (-10pq) :(6q); 3)-6,4xy:(-4x); 4) (-0,24abc) :(-0,6ab). Упростить выражение и найти его числовое значение: 1) (3a^3+ab^2-6a^2 b-2b^3)/(9a^5-ab^4-18a^4 b+2b^5 ) при a=0,2,b=0,4;


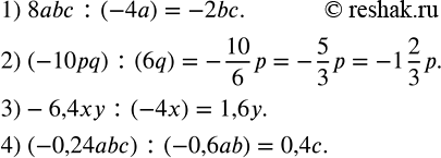
Ниже вариант решения задания из учебника Колягин, Ткачёва, Фёдорова 7 класс, Просвещение:
Выполнить деление:
1) 8abc:(-4a);
2) (-10pq) :(6q);
3)-6,4xy:(-4x);
4) (-0,24abc) :(-0,6ab).
Упростить выражение и найти его числовое значение:
1) (3a^3+ab^2-6a^2 b-2b^3)/(9a^5-ab^4-18a^4 b+2b^5 ) при a=0,2,b=0,4;
2) (3ac^2+3bc^2-3ab^2-3b^3)/(6ac^2+6bc^2-6ab^2-6b^3 ) при a=4,49,b=-5,1,c=0,68.
