Упражнение 451 ГДЗ Колягин Ткачёва 7 класс (Алгебра)
Выполнить деление: 1) 1/3 m^3 n^2 p^2 :(-2/3 m^2 n^2 p^2 ); 2) (-1 1/2 a^4 b^3 c^2 ) :(-2/3 a^3 bc^2 );


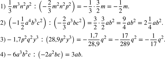
Ниже вариант решения задания из учебника Колягин, Ткачёва, Фёдорова 7 класс, Просвещение:
Выполнить деление:
1) 1/3 m^3 n^2 p^2 :(-2/3 m^2 n^2 p^2 );
2) (-1 1/2 a^4 b^3 c^2 ) :(-2/3 a^3 bc^2 );
3)-1,7p^2 q^2 y^3 :(28,9p^2 y^3 );
4)-6a^3 b^2 c:(-2a^2 bc).
Привести дроби к общему знаменателю:
1) 1/2 и 2/3;
2) 5/7 и 3/14;
3) 1/3a и 2/a;
4) a/b и a/2b.
