Упражнение 452 ГДЗ Колягин Ткачёва 7 класс (Алгебра)
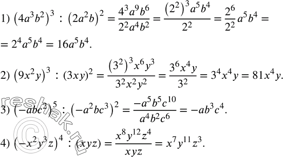
Упростить выражение: 1) (4a^3 b^2 )^3 :(2a^2 b)^2; 2) (9x^2 y)^3 :(3xy)^2; 3) (-abc^2 )^5 :(-a^2 bc^3 )^2; 4) (-x^2 y^3 z)^4 :(xyz).


Ниже вариант решения задания из учебника Колягин, Ткачёва, Фёдорова 7 класс, Просвещение:
Упростить выражение:
1) (4a^3 b^2 )^3 :(2a^2 b)^2;
2) (9x^2 y)^3 :(3xy)^2;
3) (-abc^2 )^5 :(-a^2 bc^3 )^2;
4) (-x^2 y^3 z)^4 :(xyz).
Привести дроби к общему знаменателю:
1) a/b и b^2/a;
2) 3b/4a и a^2/2b;
3) b/a,a^2/2b и c/2ab;
4) b/3a,3c/2b и c/6ab.
