Упражнение 456 ГДЗ Колягин Ткачёва 7 класс (Алгебра)
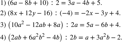
Выполнить деление: 1) (6a-8b+10) :2; 2) (8x+12y-16) :(-4); 3) (10a^2-12ab+8a) :2a; 4) (2ab+6a^2 b^2-4b) :2b. Привести дроби к общему знаменателю: 1) (m+n)/(2m-2n) и (n^2+m^2)/(m^2-n^2 );


Ниже вариант решения задания из учебника Колягин, Ткачёва, Фёдорова 7 класс, Просвещение:
Выполнить деление:
1) (6a-8b+10) :2;
2) (8x+12y-16) :(-4);
3) (10a^2-12ab+8a) :2a;
4) (2ab+6a^2 b^2-4b) :2b.
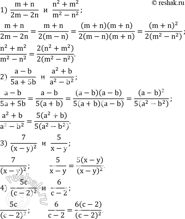
Привести дроби к общему знаменателю:
1) (m+n)/(2m-2n) и (n^2+m^2)/(m^2-n^2 );
2) (a-b)/(5a+5b) и (a^2+b)/(a^2-b^2 );
3) 7/(x-y)^2 и 5/(x-y);
4) 5c/(c-2)^2 и 6/(c-2).
