Упражнение 455 ГДЗ Колягин Ткачёва 7 класс (Алгебра)
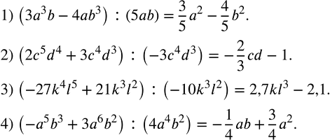
Выполнить деление: 1) (3a^3 b-4ab^3 ) :(5ab); 2) (2c^5 d^4+3c^4 d^3 ) :(-3c^4 d^3 ); 3) (-27k^4 l^5+21k^3 l^2 ) :(-10k^3 l^2 );


Ниже вариант решения задания из учебника Колягин, Ткачёва, Фёдорова 7 класс, Просвещение:
Выполнить деление:
1) (3a^3 b-4ab^3 ) :(5ab);
2) (2c^5 d^4+3c^4 d^3 ) :(-3c^4 d^3 );
3) (-27k^4 l^5+21k^3 l^2 ) :(-10k^3 l^2 );
4) (-a^5 b^3+3a^6 b^2 ) :(4a^4 b^2 ).
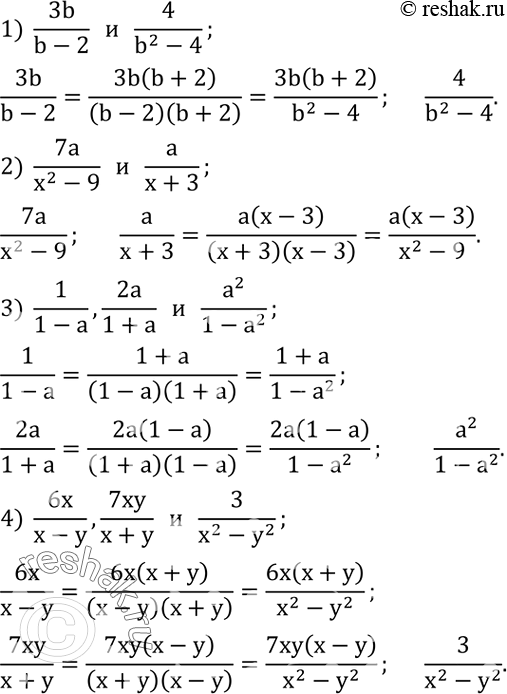
Привести дроби к общему знаменателю:
1) 3b/(b-2) и 4/(b^2-4);
2) 7a/(x^2-9) и a/(x+3);
3) 1/(1-a),2a/(1+a) и a^2/(1-a^2 );
4) 6x/(x-y),7xy/(x+y) и 3/(x^2-y^2 ).
