Упражнение 454 ГДЗ Колягин Ткачёва 7 класс (Алгебра)
Выполнить деление: 1) (5mn-6np) :n; 2) (4a^2-3ab) :a; 3) (x-xy) :x; 4) (cd-d) :(-d). Привести дроби к общему знаменателю: 1) 1/(x-y) и 1/(x+y);


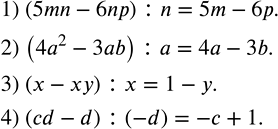
Ниже вариант решения задания из учебника Колягин, Ткачёва, Фёдорова 7 класс, Просвещение:
Выполнить деление:
1) (5mn-6np) :n;
2) (4a^2-3ab) :a;
3) (x-xy) :x;
4) (cd-d) :(-d).
Привести дроби к общему знаменателю:
1) 1/(x-y) и 1/(x+y);
2) 7a/(3x-y) и 6b/(3x+y);
3) 5/(2x-2) и 3/(4x-4);
4) 3x/(4x+4y) и x/(8x+8y).
