Упражнение 457 ГДЗ Колягин Ткачёва 7 класс (Алгебра)
Упростить выражение: 1) (6a^3-3a^2 ) :a^2+(12a^2+9a) :(3a); 2) (8x^3-4x^2 ) :(2x^2 )-(4x^2-3x) :x; 3) (7y^4+4y^2 ) :y^2-(14y^3+6y) :(2y); 4) (10b^5+15b^3 ) :(5b^2 )-(b^4-b^2 ) :b.


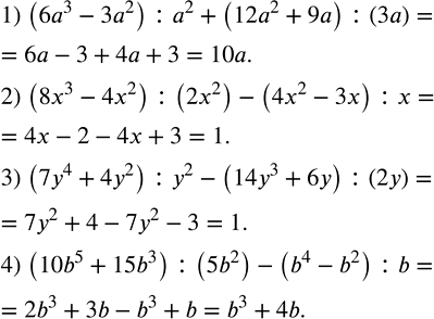
Ниже вариант решения задания из учебника Колягин, Ткачёва, Фёдорова 7 класс, Просвещение:
Упростить выражение:
1) (6a^3-3a^2 ) :a^2+(12a^2+9a) :(3a);
2) (8x^3-4x^2 ) :(2x^2 )-(4x^2-3x) :x;
3) (7y^4+4y^2 ) :y^2-(14y^3+6y) :(2y);
4) (10b^5+15b^3 ) :(5b^2 )-(b^4-b^2 ) :b.
Записать выражение в виде дробей с одинаковыми знаменателями:
1) a и c/b;
2) ab,3c/2b и a/4b;
3) ab,3/4ab и 2/(ab^2 );
4) 3b и 7/6a;
5) a-b,1/(a+b) и 1/(a-b);
6) a+b,3/ab и 1/(a-b).
