Упражнение 556 ГДЗ Колягин Ткачёва 7 класс (Алгебра)
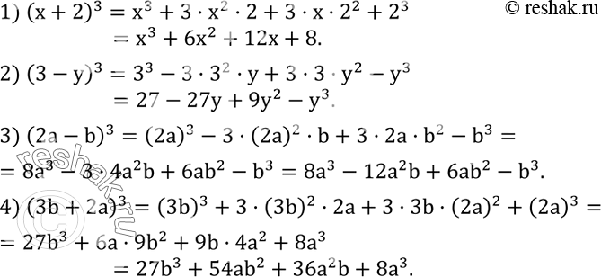
Используя формулы куба суммы или куба разности двух чисел, выполнить действие: 1) (x+2)^3; 2) (3-y)^3; 3) (2a-b)^3; 4) (3b+2a)^3. Книга стоит 200 р.


Ниже вариант решения задания из учебника Колягин, Ткачёва, Фёдорова 7 класс, Просвещение:
Используя формулы куба суммы или куба разности двух чисел, выполнить действие:
1) (x+2)^3;
2) (3-y)^3;
3) (2a-b)^3;
4) (3b+2a)^3.
Книга стоит 200 р. Выразить формулой зависимость между купленным числом n экземпляров этой книги и уплаченной суммой y, выраженной в рублях. Чему равно y(6), y(11)?
