Упражнение 384 ГДЗ Колягин Ткачёва 7 класс (Алгебра)
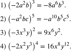
Возвести одночлен в степень: 1) (-2a^2 b)^3; 2) (-a^2 bc)^5; 3) (-3x^3 y)^2; 4) (-2x^2 y^3 )^4. Решить уравнение: 1) 16x^2-(4x-5)^2=15;


Ниже вариант решения задания из учебника Колягин, Ткачёва, Фёдорова 7 класс, Просвещение:
Возвести одночлен в степень:
1) (-2a^2 b)^3;
2) (-a^2 bc)^5;
3) (-3x^3 y)^2;
4) (-2x^2 y^3 )^4.
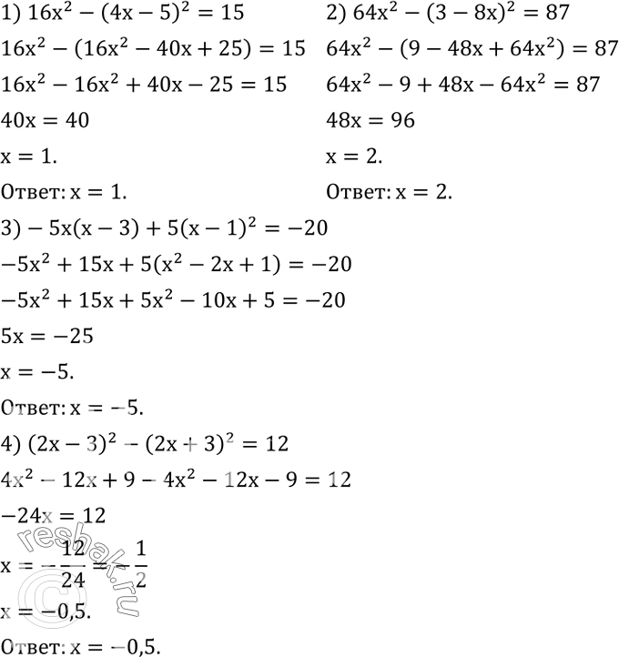
Решить уравнение:
1) 16x^2-(4x-5)^2=15;
2) 64x^2-(3-8x)^2=87;
3)-5x(x-3)+5(x-1)^2=-20;
4) (2x-3)^2-(2x+3)^2=12.
