Упражнение 383 ГДЗ Колягин Ткачёва 7 класс (Алгебра)
Возвести одночлен в степень: 1) (2a)^3; 2) (5b)^2; 3) (3b^2 )^4; 4) (2a^3 )^2. Разложить на множители многочлен: 1)-a^2-2a-1; 2)-9+6b-b^2; 3)-2a^2+8ab-8b^2;


Ниже вариант решения задания из учебника Колягин, Ткачёва, Фёдорова 7 класс, Просвещение:
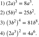
Возвести одночлен в степень:
1) (2a)^3;
2) (5b)^2;
3) (3b^2 )^4;
4) (2a^3 )^2.
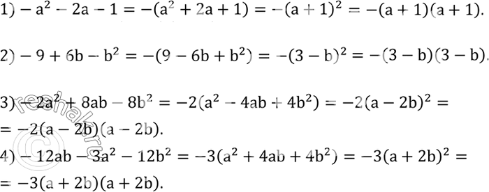
Разложить на множители многочлен:
1)-a^2-2a-1;
2)-9+6b-b^2;
3)-2a^2+8ab-8b^2;
4)-12ab-3a^2-12b^2.
