Упражнение 390 ГДЗ Колягин Ткачёва 7 класс (Алгебра)
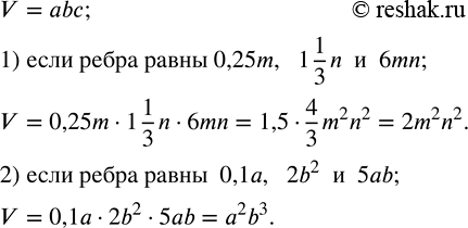
Найти объем прямоугольного параллелепипеда с ребрами: 1) 0,25m, 1 1/3 n и 6mn; 2) 0,1a, 2b^2 и 5ab. Разложить многочлен на множители:


Ниже вариант решения задания из учебника Колягин, Ткачёва, Фёдорова 7 класс, Просвещение:
Найти объем прямоугольного параллелепипеда с ребрами:
1) 0,25m, 1 1/3 n и 6mn;
2) 0,1a, 2b^2 и 5ab.
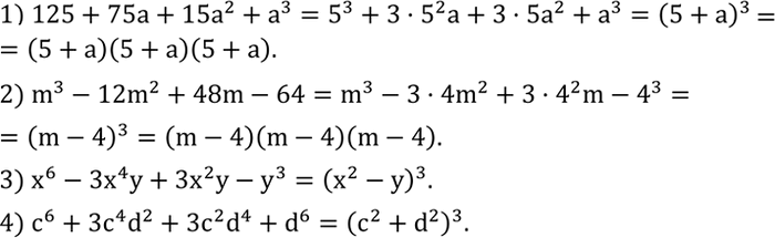
Разложить многочлен на множители:
1) 125+75a+15a^2+a^3;
2) m^3-12m^2+48m-64;
3) x^6-3x^4 y+3x^2 y-y^3;
4) c^6+3c^4 d^2+3c^2 d^4+d^6.
