Упражнение 11.9 ГДЗ Мордкович Семенов 9 класс (Алгебра)
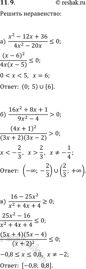
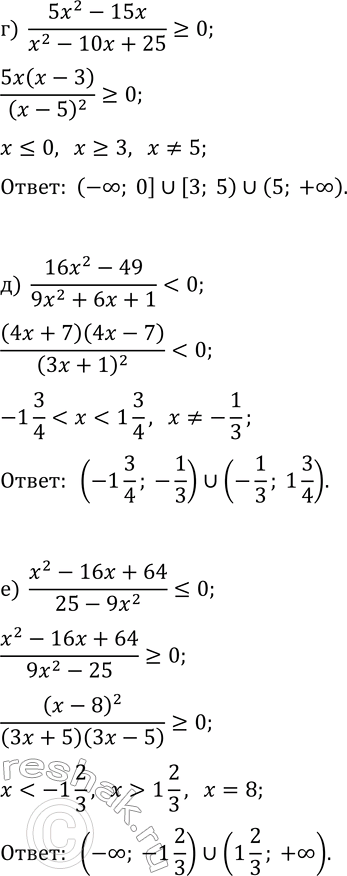
11.9. Решите неравенство: а) (x^2-12x+36)/(4x^2-20x)?0; г) (5x^2-15x)/(x^2-10x+25)?0; б) (16x^2+8x+1)/(9x^2-4) > 0; д) (16x^2-49)/(9x^2+6x+1) в) (16-26x^2)/(x^2+4x+4)?0; е) (x^2-16x+64)/(25-9x^2)?0. *Цитирирование задания со ссылкой на учебник производится исключительно в учебных целях для лучшего понимания разбора решения задания.


Ниже вариант решения задания из учебника Мордкович, Семенов, Александрова 9 класс, Бином:
11.9. Решите неравенство:
а) (x^2-12x+36)/(4x^2-20x)?0; г) (5x^2-15x)/(x^2-10x+25)?0;
б) (16x^2+8x+1)/(9x^2-4) > 0; д) (16x^2-49)/(9x^2+6x+1)
в) (16-26x^2)/(x^2+4x+4)?0; е) (x^2-16x+64)/(25-9x^2)?0.
