Упражнение 194 ГДЗ Колягин Ткачёва 7 класс (Алгебра)
Автобус преодолевает путь s километров за t часов. С какой скоростью должен ехать автомобиль, чтобы тот же путь преодолеть на 1 ч быстрее автобуса?Записать в виде степени:


Ниже вариант решения задания из учебника Колягин, Ткачёва, Фёдорова 7 класс, Просвещение:
Автобус преодолевает путь s километров за t часов. С какой скоростью должен ехать автомобиль, чтобы тот же путь преодолеть на 1 ч быстрее автобуса?
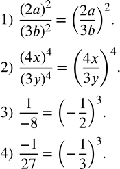
Записать в виде степени:
1) (2a)^2/(3b)^2 ;
2) (4x)^4/(3y)^4 ;
3) 1/(-8);
4) (-1)/27.
