Упражнение 195 ГДЗ Колягин Ткачёва 7 класс (Алгебра)
Верно ли утверждение: 1) произведение двух любых четных чисел делися на 4; 2) одно из двух последовательных четных чисел делится на 6?Пусть n, m, k - натуральные числа.


Ниже вариант решения задания из учебника Колягин, Ткачёва, Фёдорова 7 класс, Просвещение:
Верно ли утверждение:
1) произведение двух любых четных чисел делися на 4;
2) одно из двух последовательных четных чисел делится на 6?
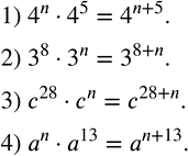
Пусть n, m, k - натуральные числа. Представить выражение в виде степени:
1) 4^n•4^5;
2) 3^8•3^n;
3) c^28•c^n;
4) a^n•a^13.
