Упражнение 198 ГДЗ Колягин Ткачёва 7 класс (Алгебра)
Турист вышел из пункта A и прошел 7 км за 1 3/4 ч, затем сделал привал на 15 мин, после чего прошел оставшиеся 10,5 км за 3 ч.


Ниже вариант решения задания из учебника Колягин, Ткачёва, Фёдорова 7 класс, Просвещение:
Турист вышел из пункта A и прошел 7 км за 1 3/4 ч, затем сделал привал на 15 мин, после чего прошел оставшиеся 10,5 км за 3 ч. На каком расстоянии от пункта A находился турист через a ч, где 2
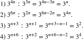
Пусть n, m, k - натуральные числа. Представить выражение в виде степени:
1) 3^4n :3^3n;
2) 3^6n :3^2n;
3) 3^(n+3) :3^(n+1);
4) 3^(n+6) :3^(n+2).
