Упражнение 196 ГДЗ Колягин Ткачёва 7 класс (Алгебра)
1) Из формулы C=2?R выразить R через C и ?. 2) Из формулы s=vt+l выразить: а) l через s, v и t;


Ниже вариант решения задания из учебника Колягин, Ткачёва, Фёдорова 7 класс, Просвещение:
1) Из формулы C=2?R выразить R через C и ?.
2) Из формулы s=vt+l выразить:
а) l через s, v и t; б) v через s, t и l; в) t через s, v и l.
3) Из формулы V=m/p выразить:
а) p через V и m; б) m через V и p.
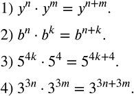
Пусть n, m, k - натуральные числа. Представить выражение в виде степени:
1) y^n•y^m;
2) b^n•b^k;
3) 5^4k•5^4;
4) 3^3n•3^3m.
