Упражнение 197 ГДЗ Колягин Ткачёва 7 класс (Алгебра)
Школьники сажали деревья. Первая группа посадила a деревьев, вторая - 80 % того, что посадила первая, а третья - на 5 деревьев больше второй.


Ниже вариант решения задания из учебника Колягин, Ткачёва, Фёдорова 7 класс, Просвещение:
Школьники сажали деревья. Первая группа посадила a деревьев, вторая - 80 % того, что посадила первая, а третья - на 5 деревьев больше второй. Сколько деревьв посадили школьники?
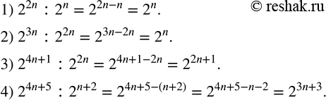
Пусть n, m, k - натуральные числа. Представить выражение в виде степени:
1) 2^2n :2^n;
2) 2^3n :2^2n;
3) 2^(4n+1) :2^2n;
4) 2^(4n+5) :2^(n+2).
