Упражнение 336 ГДЗ Колягин Ткачёва 7 класс (Алгебра)
Вычислить: 1) (2•3^3)/3^2 ; 2) (2^3•3^2)/(2^2•3); 3) (3^5•3^10)/(3^6•3^7 ); 4) (5^8•5^7)/(5^4•5^9 ). Разложить на множители: 1) x^2 (x-3)-x(x-3)^2; 2) a^3 (2+a)+a^2 (2+a)^2;


Ниже вариант решения задания из учебника Колягин, Ткачёва, Фёдорова 7 класс, Просвещение:
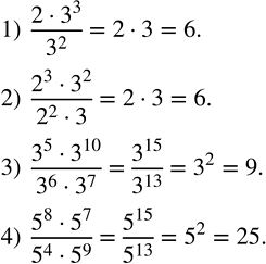
Вычислить:
1) (2•3^3)/3^2 ;
2) (2^3•3^2)/(2^2•3);
3) (3^5•3^10)/(3^6•3^7 );
4) (5^8•5^7)/(5^4•5^9 ).
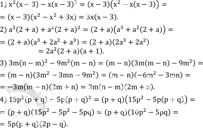
Разложить на множители:
1) x^2 (x-3)-x(x-3)^2;
2) a^3 (2+a)+a^2 (2+a)^2;
3) 3m(n-m)^2-9m^2 (m-n);
4) 15p^2 (p+q)-5p(p+q)^2.
