Упражнение 337 ГДЗ Колягин Ткачёва 7 класс (Алгебра)
Вычислить: 1) (8•3^3)/(2•3^2 ); 2) (?11?^3•4^2)/(?11?^2•4); 3) (2^4•2^6•2^3)/(2^5•2^7 ); 4) (3^6•3^3)/(3^3•3•3). Решить уравнение: 1) x^2-2x=0; 2) 3x+x^2=0; 3) 5x^2+3x=0; 4) x^2 (x-2)-2x(x-2)^2=0;


Ниже вариант решения задания из учебника Колягин, Ткачёва, Фёдорова 7 класс, Просвещение:
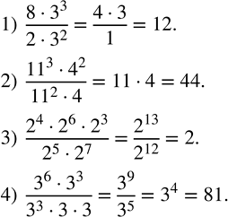
Вычислить:
1) (8•3^3)/(2•3^2 );
2) (?11?^3•4^2)/(?11?^2•4);
3) (2^4•2^6•2^3)/(2^5•2^7 );
4) (3^6•3^3)/(3^3•3•3).
Решить уравнение:
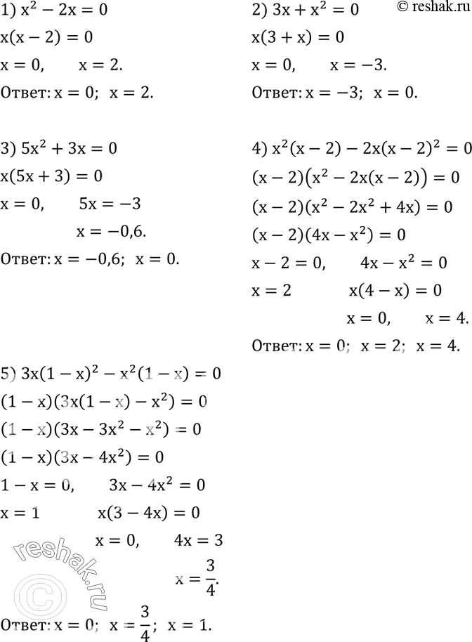
1) x^2-2x=0;
2) 3x+x^2=0;
3) 5x^2+3x=0;
4) x^2 (x-2)-2x(x-2)^2=0;
5) 3x(1-x)^2-x^2 (1-x)=0.
