Упражнение 339 ГДЗ Колягин Ткачёва 7 класс (Алгебра)
Записать в виде степени с основанием a: 1) (a^5 )^6; 2) (a^8 )^7; 3) (a^2 )^5 a^8; 4) a^5 (a^2 )^3;


Ниже вариант решения задания из учебника Колягин, Ткачёва, Фёдорова 7 класс, Просвещение:
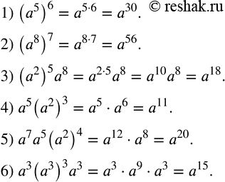
Записать в виде степени с основанием a:
1) (a^5 )^6;
2) (a^8 )^7;
3) (a^2 )^5 a^8;
4) a^5 (a^2 )^3;
5) a^7 a^5 (a^2 )^4;
6) a^3 (a^3 )^3 a^3.
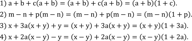
Разложить на множители:
1) a+b+c(a+b);
2) m-n+p(m-n);
3) x+3a(x+y)+y;
4) x+2a(x-y)-y.
