Упражнение 340 ГДЗ Колягин Ткачёва 7 класс (Алгебра)
Записать в виде степени с основанием a: 1) (a^7 )^5 :(a^3 )^4; 2) (a^6 )^4 :(a^3 )^5; 3) ((a^3 )^5 a^4)/a^12 ;


Ниже вариант решения задания из учебника Колягин, Ткачёва, Фёдорова 7 класс, Просвещение:
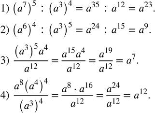
Записать в виде степени с основанием a:
1) (a^7 )^5 :(a^3 )^4;
2) (a^6 )^4 :(a^3 )^5;
3) ((a^3 )^5 a^4)/a^12 ;
4) (a^8 (a^4 )^4)/(a^3 )^4 .
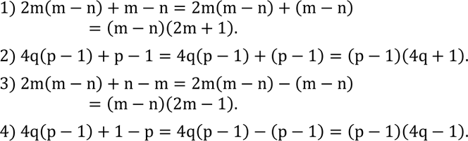
Разложить на множители:
1) 2m(m-n)+m-n;
2) 4q(p-1)+p-1;
3) 2m(m-n)+n-m;
4) 4q(p-1)+1-p.
