Упражнение 341 ГДЗ Колягин Ткачёва 7 класс (Алгебра)
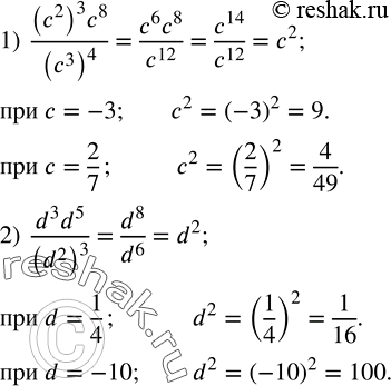
Найти значение выражения: 1) ((c^2 )^3 c^8)/(c^3 )^4 при c=-3; 2/7; 2) (d^3 d^5)/(d^2 )^3 при d=1/4; -10. Разложить на множители:


Ниже вариант решения задания из учебника Колягин, Ткачёва, Фёдорова 7 класс, Просвещение:
Найти значение выражения:
1) ((c^2 )^3 c^8)/(c^3 )^4 при c=-3; 2/7;
2) (d^3 d^5)/(d^2 )^3 при d=1/4; -10.
Разложить на множители:
1) ac+bc-2ad-2bd;
2) ac-3bd+ad-3bc;
3) 2bx-3ay-6by+ax;
4) 5ay-3bx+ax-15by.
