Упражнение 342 ГДЗ Колягин Ткачёва 7 класс (Алгебра)
Представить 2^20 в виде степени с основанием: 1) 2^2; 2) 2^4; 3) 2^5; 4) 2^10. Разложить на множители: 1) 18a^2-27ab+14ac-21bc; 2) 10x^2+10xy+5x+5y;


Ниже вариант решения задания из учебника Колягин, Ткачёва, Фёдорова 7 класс, Просвещение:
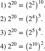
Представить 2^20 в виде степени с основанием:
1) 2^2;
2) 2^4;
3) 2^5;
4) 2^10.
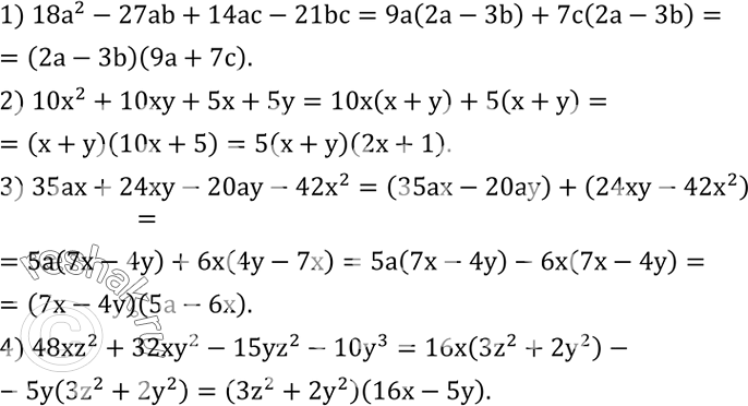
Разложить на множители:
1) 18a^2-27ab+14ac-21bc;
2) 10x^2+10xy+5x+5y;
3) 35ax+24xy-20ay-42x^2;
4) 48xz^2+32xy^2-15yz^2-10y^3.
