Упражнение 343 ГДЗ Колягин Ткачёва 7 класс (Алгебра)
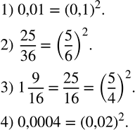
Записать в виде степени с показателем 2: 1) 0,01; 2) 25/36; 3) 1 9/16; 4) 0,0004. Разложить многочлен на множители и результат проверить умножением:


Ниже вариант решения задания из учебника Колягин, Ткачёва, Фёдорова 7 класс, Просвещение:
Записать в виде степени с показателем 2:
1) 0,01;
2) 25/36;
3) 1 9/16;
4) 0,0004.
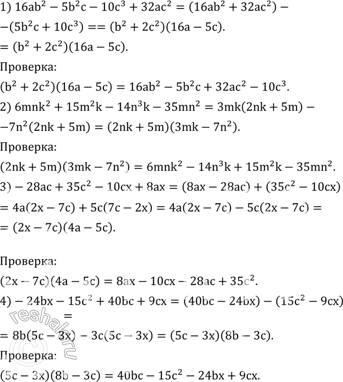
Разложить многочлен на множители и результат проверить умножением:
1) 16ab^2-5b^2 c-10c^3+32ac^2;
2) 6mnk^2+15m^2 k-14n^3 k-35mn^2;
3) -28ac+35c^2-10cx+8ax;
4) -24bx-15c^2+40bc+9cx.
