Упражнение 344 ГДЗ Колягин Ткачёва 7 класс (Алгебра)
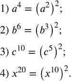
Записать в виде степени с показателем 2: 1) а^4; 2) b^6; 3) с^10; 4) x^20.Разложить многочлен на множители и результат проверить умножением:


Ниже вариант решения задания из учебника Колягин, Ткачёва, Фёдорова 7 класс, Просвещение:
Записать в виде степени с показателем 2:
1) а^4; 2) b^6; 3) с^10; 4) x^20.
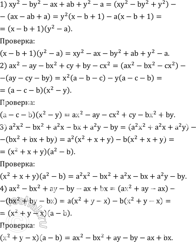
Разложить многочлен на множители и результат проверить умножением:
1) xy^2-by^2-ax+ab+y^2-a;
2) ax^2-ay-bx^2+cy+by-cx^2;
3) a^2 x^2-bx^2+a^2 x-bx+a^2 y-by;
4) ax^2-bx^2+ay-by-ax+bx.
