Упражнение 345 ГДЗ Колягин Ткачёва 7 класс (Алгебра)
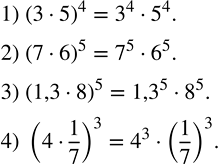
Возвести в степень произведение: 1) (3•5)^4; 2) (7•6)^5; 3) (1,3•8)^5; 4) (4•1/7)^3. Найти значение выражения: 1) 5a^2-5ax-7a+7x при x=-3,a=4; 2) m^2-mn-3m+3n при m=0,5,n=0,25;


Ниже вариант решения задания из учебника Колягин, Ткачёва, Фёдорова 7 класс, Просвещение:
Возвести в степень произведение:
1) (3•5)^4;
2) (7•6)^5;
3) (1,3•8)^5;
4) (4•1/7)^3.
Найти значение выражения:
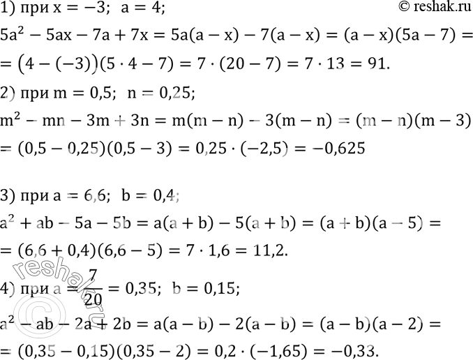
1) 5a^2-5ax-7a+7x при x=-3,a=4;
2) m^2-mn-3m+3n при m=0,5,n=0,25;
3) a^2+ab-5a-5b при a=6,6,b=0,4;
4) a^2-ab-2a+2b при a=7/20,b=0,15.
